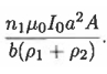
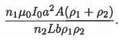
ITA – Magnetismo Welcome to your ITA - Magnetismo (ITA 2024) (Questão anulada) Um próton com posição inicial x = R e velocidade inicial vo na direção y (vo < 0 e y > 0) onde atua um campo magnético perpendicular ao plano xy, conforme mostra a figura. Considere que logo após acessar esta região a trajetória do próton apresenta um raio de curvatura R (L/2 < R < L) e que um detetor suficientemente estreito é posicionado para sua contagem em y = L/2. Determine a posição em x que o detetor deve estar para a contagem deste próton.Determine a posição em x que o detetor deve estar para a contagem deste próton. a) R cos(arcsen(L/R)) b) 0 c) R sen(arccos(L/(2R))) d) R cos(arcsen(L/(2R))) e) R sen(arccos(L/R)) (ITA 2015) Se precisar, utilize os valores das constantes aqui relacionadas. Constante dos gases: R = 8 J/(mol·K). Pressão atmosférica ao n´nível do mar: P0 = 100 kPa. Massa molecular do CO2 = 44 u. Calor latente do gelo: 80 cal/g. Calor específico do gelo: 0,5 cal/(g·K). 1 cal = 4×107 erg. Aceleração da gravidade: g = 10,0 m/s2. Considere as seguintes proposições sobre campos magnéticos: I. Em um ponto P no espaço, a intensidade do campo magnético produzido por uma carga puntiforme q que se movimenta com velocidade constante ao longo de uma reta só depende da distancia entre P e a reta. II. Ao se aproximar um imã de uma porção de limalha de ferro, esta se movimenta porque o campo magnético do ´imã realiza trabalho sobre ela. III. Dois fios paralelos por onde passam correntes uniformes num mesmo sentido se atraem. Então, a) apenas I é correta. b) apenas II é correta c) apenas III é correta d) todas são corretas e) todas são erradas (ITA 2015) Uma espira quadrada, feita de um material metálico homogêneo e rígido, tem resistência elétrica R e é solta em uma região onde atuam o campo gravitacional g = −gez e um campo magnético B=B0L(−xex+zez) Inicialmente a espira encontra-se suspensa, conforme a figura, com sua aresta inferior no plano xy num ângulo α com o eixo y, e o seu plano formando um ângulo β com z. Ao ser solta, a espira tende a a) girar para α > 0 o se α = 0o e β = 0o b) girar para α < 45o se α = 45o e β = 0o c) girar para β < 90o se α = 0o e β = 90o d) girar para α > 0 o se α = 0o e β = 45o e) não girar se α = 45o e β = 90o (ITA 2013) Uma espira circular de raio R é percorrida por uma corrente elétrica i criando um campo magnético. Em seguida, no mesmo plano da espira, mas em lados opostos, a uma distância 2R do seu centro colocam-se dois fios condutores retilíneos, muito longos e paralelos entre si, percorridos por correntes i₁ e i₂ não nulas, de sentidos opostos, como indicado na figura. O valor de i e o seu sentido para que o módulo do campo de indução resultante no centro da espira não se altere são respectivamente a) i = (1/2π) (i1 + i2) e horário b) i = (1/2π) (i1 + i2) e antihorário c) i = (1/4π) (i1 + i2) e horário d) i = (1/4π) (i1 + i2) e antihorário e) i = (1/π) (i1 + i2) e horário (ITA 2012) Um gerador elétrico alimenta um circuito cuja resistência equivalente varia de 50 a 150 Ω, dependendo das condições de uso desse circuito. Lembrando que, com resistência mínima, a potência útil do gerador é máxima, então, o rendimento do gerador na situação de resistência máxima, é igual a a) 0,25 b) 0,50 c) 0,67 d) 0,75 e) 0,90 (ITA 2012) Assinale em qual das situações descritas nas opções abaixo as linhas de campo magnético formam circunferências no espaço. a) Na região externa de um toroide b) Na região interna de um solenoide c) Próximo a um íma com formato esférico d) Ao redor de um fio retilíneo percorrido por corrente elétrica e) Na região interna de uma espira circular percorrida por corrente elétrica (ITA 2011) Prótons (carga e e massa mp), deuterons (carga e e massa md = 2mp) e partículas alfas (carga 2e e massa ma = 4mp) entram em um campo magnético uniforme B perpendicular a suas velocidades, onde se movimentam em órbitas circulares de períodos Tp, Td e Ta, respectivamente. Pode-se afirmar que as razões dos períodos Td/Tp e Ta/Tp são, respectivamente, a) 1 e 1 b) 1 e √2 c) √2 e 2 d) 2 e √2 e) 2 e 2 (ITA 2011) Se necessário, use os seguintes dados: Aceleração da gravidade =10 m/s² Densidade da água = 1,0 g/cm³ Velocidade de som no ar =340 m/s Comprimento de onda médio da luz = 570 nm Uma bobina de 100 espiras, com seção transversal de área de 400 cm² e resistência de 20 Ω, está alinhada com seu plano perpendicular ao campo magnético da Terra, de 7,0 × 10⁻⁴ T na linha do Equador. Quanta carga flui pela bobina enquanto ela é virada de 180º em relação ao campo magnético? a) 1,4 × 10⁻⁴ C b) 2,8 × 10⁻⁴ C c) 1,4 × 10⁻² C d) 2,8 × 10⁻² C e) 1,4 C (ITA 2014) Considere um ímã cilíndrico vertical com o polo norte para cima, tendo um anel condutor posicionado acima do mesmo. Um agente externo imprime um movimento ao anel que, partindo do repouso, desce verticalmente em torno do ímã e atinge uma posição simétrica à original, iniciando, logo em seguida, um movimento ascendente e retornando à posição inicial em repouso. Considerando o eixo de simetria do anel sempre coincidente com o do ímã e sendo positiva a corrente no sentido anti-horário (visto por um observador de cima), o gráfico que melhor representa o comportamento da corrente induzida i no anel é a) b) c) d) e) (ITA 2014) as figuras mostram três espiras circulares concêntricas e coplanares percorridas por correntes de mesma intensidade I em diferentes sentidos. Assinale a alternativa que ordena corretamente as magnitudes dos respectivos campos magnéticos nos centros B1, B2, B3 e B4. a) B2 > B4 > B3 > B1 b) B1 > B4 > B3 > B2 c) B2 > B3 > B4 > B1 d) B3 > B2 > B4 > B1 e) B4 > B3 > B2 > B1 (ITA 2016) Um líquido condutor (metal fundido) flui no interior de duas chapas metálicas paralelas, interdistantes de 2,0 cm, formando um capacitor plano, conforme a figura. Toda essa região interna está submetida a um campo homogêneo de indução magnética de 0,01 T, paralelo aos planos das chapas, atuando perpendicularmente `a direção da velocidade do escoamento. Assinale a opção com o módulo dessa velocidade quando a diferença de potencial medida entre as placas for de 0,40 mV. a) 2 cm/s b) 3 cm/s c) 1 m/s d) 2 m/s e) 5 m/s (ITA 2016) Uma bobina metálica circular de raio r, com N espiras e resistência elétrica B, é atravessada por um campo de indução magnética de intensidade B. Se o raio da bobina é aumentado de uma fração num intervalo de tempo Δt, e desconsiderando as perdas, a máxima corrente induzida será de a) 2𝝅N Br ∆r/( R∆t ) b) 2𝝅 N Br ∆r² / ( R∆t ) c) 2𝝅 NB²r ∆r /( R∆t ) d) 2𝝅 N Br ∆r / ( R²∆t ) e) 2𝝅 N Br ∆r /( R∆t² ) (ITA 2017) Elétrons com energia cinética inicial de 2 MeV são injetados em um dispositivo (bétatron) que os acelera em uma trajetória circular perpendicular a um campo magnético cujo fluxo varia a uma taxa de 1 000 Wb/s. Assinale a energia cinética final alcançada pelos elétrons após 500 000 revoluções. a) 498 MeV b) 500 MeV c) 502 MeV d) 504 MeV e) 506 MeV (ITA 2018) Uma massa m de carga q gira em órbita circular de raio R e período T no plano equatorial de um ímã. Nesse plano, a uma distância r do ímã, a intensidade do campo magnético é B(r) = µ/r3 , em que µ é uma constante. Se fosse de 4R o raio dessa órbita, o período seria de a) T/2 b) 2T c) 8T d) 32T e) 64T (ITA 2018) Dois fios longos de comprimento L conduzem correntes iguais, I. O primeiro fio é fixo no eixo x do sistema de referência enquanto o segundo gira lentamente com frequência angular w num plano paralelo ao plano xy, com seu ponto médio fixo em z = d, sendo d > 0. Supondo que os dois fios sejam paralelos com correntes no mesmo sentido em t = 0, e definindo K = µ0I 2L/(2πd), assinale a opção com a figura que melhor representa a dependência temporal da força F que o fio fixo exerce sobre o outro. a) b) c) d) e) (ITA 2020) Ao redor de um cilindro de massa m, raio a e comprimento 6, são enroladas simétrica e longitudinalmente N espiras. Estas são dispostas paralelamente a um plano inclinado onde se encontra um cilindro, que não desliza devido ao atrito com a superfície do plano. Considerando a existência de um campo magnético uniforme e vertical na região, assinale a intensidade da corrente i que deve circular nas espiras para que o conjunto permaneça em repouso na posição indicada pela figura. a) b) c) d) e) (ITA 2021) Quando precisar use os seguintes valores para as constantes: Aceleração local da gravidade g = 10 m/s². Constante gravitacional universal G = 6,67 × 10⁻ ¹¹m³.kg⁻ ¹.s⁻ ². Velocidade da luz no vácuo c = 3,0 × 10⁸ m/s. Constante de Planck reduzida h = 1,05 × 10⁻³⁴ J.s. Permeabilidade magnética do vácuo µ₀ = 4π × 10⁻⁷ N.A⁻². Carga elétrica elementar e=1,6×10⁻¹⁹ C. Massa do elétron m₀=9,1×10⁻³¹ kg. Constante eletrostática do vácuo K₀=9,0×10⁹ N.m².C⁻². Um cilindro condutor oco de comprimento muito longo, cuja secção transversal tem raio interno R/2 e raio externo R, é atravessado por uma densidade de corrente elétrica uniforme e paralela ao eixo do cilindro. Qual representação gráfica abaixo melhor descreve a intensidade do campo magnético como função da coordenada radial r a partir do eixo de simetria do sistema? a) b) c) d) e) (ITA 2021) Considere uma bobina circular de 200 voltas e 5,0 cm de raio, localizada em uma região onde existe um campo magnético uniforme de 1,25 T. A espira encontra-se inicialmente paralela ao campo magnético e é girada em um quarto de volta em 15 ms. Assinale a alternativa que contém o valor que melhor representa a força. eletromotriz média induzida na espira durante o movimento de giro descrito. a) 5,0 V b) 15 V c) 30 V d) 60 V e) 130 V (ITA 2022) Considere o movimento de um objeto de massa m = 1,0 g, positivamente carregado, com carga q = 20,0 μC, na presença do campo gravitacional da superfície terrestre, g, e de um campo eletromagnético dado por Em que B = 1,00 T, Ex = 100 N/C e Ez = 800 N/C. O eixo z corresponde à direção vertical para cima. Sabendo que a partícula partiu da origem do sistema de coordenada com velocidade escrita em termos de suas componentes paralela e perpendicular a ou seja, sendo , calcule o tempo necessário para ela atingir a posição z = 1,0 m. a) 0,33 s b) 0,66 s c) 1,00 s d) 1,33 s e) 1,66 s (ITA 2022) Considere um solenoide muito longo com n1 voltas por unidade de comprimento e raio a. Situado no lado externo do solenoide, há outro solenoide de comprimento L. com n2 voltas por unidade de comprimento e raio b (b > a). Metade do solenoide externo possui resistividade ρ1 e a outra metade ρ2. Os fios que compõem o solenoide possuem uma área transversal A e seus terminais estão ligados em curto. A corrente que passa pelo solenóide interno varia linearmente com o tempo, I = I0t. Desprezando a auto-indutância dos solenoides, a corrente induzida no solenóide externo pode ser escrita por a) b) c) d) e) (ITA 2022) A energia produzida pelo Sol é resultante de reações de fusão nuclear de conversão de hidrogênio em hélio. São convertidas em radiação eletromagnética a cada segundo 4,3 milhões de toneladas. Essa energia pode ser parcialmente convertida em energia elétrica em painéis solares na superfície da Terra com rendimento da ordem de 25%. Sabendo que a potencia elétrica média consumida no Brasil é de 54 GW, estime a área que precisaria ser coberta por painéis solares para atender a demanda energética nacional. Despreze perdas de armazenamento e transmissão de energia, assim como efeitos da interação entre a luz e a atmosfera. a) 21 km² b) 320 km² c) 4800 km² d) 52000 km² e) 680000 km² (ITA 2024) Uma sonda composta por um conjunto de m espiras de raior é colocada no interior de um solenoide de n espiras circulares e comprimento L. O solenoide é conectado a um circuito C composto por uma fonte de tensão variável U e um resistor de resistência elétrica R. A tensão da fonte cresce linearmente com o tempo t, conforme a relação: <span id="MathJax-Element-1-Frame" class="MathJax" style="font-style: normal;font-weight: normal;line-height: normal;font-size: 14px;text-indent: 0px;text-align: left;text-transform: none;letter-spacing: normal;float: none;direction: ltr;max-width: none;max-height: none;min-width: 0px;min-height: 0px;border: 0px;padding: 0px;margin: 0px;position: relative" role="presentation" data-mathml="U=(U0t0)t">U=(U0t0)tU=(U0t0)t, <span id="MathJax-Element-2-Frame" class="MathJax" style="font-style: normal;font-weight: normal;line-height: normal;font-size: 14px;text-indent: 0px;text-align: left;text-transform: none;letter-spacing: normal;float: none;direction: ltr;max-width: none;max-height: none;min-width: 0px;min-height: 0px;border: 0px;padding: 0px;margin: 0px;position: relative" role="presentation" data-mathml="(U0t0)>0">(U0t0)>0(U0t0)>0 A sonda é conectada a um voltímetro e orientada de modo que o eixo axial de suas espiras seja paralelo ao campo magnético. Considere que R é muito maior do que a resistência/impedância proporcionada pelo solenoide e que a permeabilidade magnética do interior do solenoide é μ0. A magnitude da tensão medida pelo voltímetro é: a) b) c) d) e) Time's up