Apesar de termos estudado anteriormente o movimento com velocidade constante, a maior parte dos movimentos que acontecem na natureza ocorrem com velocidade variável. Por isso, é fundamental em movimentos que a velocidade varia, definirmos as principais propriedades de uma grandeza chamada aceleração.
Vimos que a rapidez com a as posições variam em um determinado tempo era a velocidade, a aceleração pode ser definida como a rapidez com que a velocidade de um corpo varia com o tempo.
Um exemplo prático de aceleração é o caso de funcionamento dos automóveis. O que muda de um carro que sua velocidade vai de 0 a 100 km/h em 10 s para um carro que vai de 0 a 100 km/h em 20 s? Dizemos que a aceleração do primeiro carro é maior que a a aceleração do segundo carro. Pois, a variação da velocidade do primeiro é maior que a do segundo, considerando o mesmo intervalo de tempo.

A grandeza vetorial que representa a rapidez com que a velocidade varia é conhecida como aceleração e é representada pela letra a.
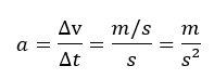
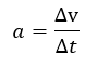
Para calcularmos a aceleração média, num determinado intervalo de tempo, fizemos:
Como no SI a velocidade é medida em m/s e o tempo em s, a aceleração será medida em m/s².

Exemplo 1: A velocidade instantânea de um carro diminui de 144 km/h para 72 km/h em 10s. Qual foi sua aceleração média, em m/s², nesse intervalo de tempo?
Resolução:
Como queremos a aceleração em m/s² e as velocidades do problema são dadas em km/h, devemos transformar de km/h para m/s. Fazemos isso, dividindo esses valores por 3,6, conforme vimos anteriormente.
144 km/h = 40 m/s
72 km/h = 20 m/s
Assim, fizemos:


Exemplo 2: Um avião parte do repouso e decola 20 s mais tarde com velocidade escalar de 360 km/h. Qual foi a aceleração média desse avião durante a decolagem?
Resolução:
Nesse problema, devemos olhar atentamente para as unidades de medida. Como queremos determinar a aceleração em m/s², devemos transformar a velocidade de km/h para m/s. Dividindo por 3,6.
Assim: 360 km/h = 100 m/s.
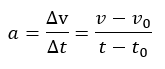
Sabemos que a aceleração média é calculada como:




