Um movimento é definido como Movimento retilíneo uniformemente variado (MRUV), quando sua aceleração é constante e não nula.
Para ilustra melhor o caso, consideramos a tabela abaixo:

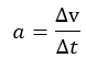
Observamos que a aceleração média é a mesma em qualquer intervalo de tempo que considerados. Conforme a equação abaixo, observamos que a aceleração é 5 m/s².

Função horária da velocidade no MRUV
Para descrever um movimento retilíneo uniformemente variado, devemos conhecer as equações que estabelece as relações entre as variáveis envolvidas nesse movimento. Como é o caso da velocidade em função do tempo, conhecida como função horária.
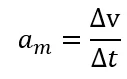
Podemos obter a velocidade em um determinado instante a partir da seguinte relação:

Exemplo 1: Um móvel realizando movimento retilíneo uniformemente variado, em relação a um determinado referencial, tem velocidade inicial de 10 m/s; após 10 s sua velocidade atinge o valor 30 m/s. Determine:
a) a aceleração desse móvel;
b) a função horária da velocidade nesse movimento.
Resolução:
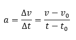
a) Para calcularmos a aceleração, fizemos:


b) A função horária da velocidade é escrita como:
![]()

Exemplo 2: A função horária da velocidade para um móvel que realiza um MRUV é v = 15 – 3t (SI). Para esse movimento, determine:
a) a velocidade inicial e a aceleração;
b) a velocidade no instante t = 2 s
c) a velocidade no instante t = 10 s
d) o instante em que o móvel muda o sentido do movimento.
Resolução:
a) A velocidade inicial e a aceleração podem ser determinadas analisando a função horária dada no problema e comparando com a equação genérica.
v = v0 + at
v = 15 – 3t
Ou seja, a velocidade inicial v0 = 15 m/s e a aceleração a = – 3 m/s².
b) Para calcular quanto vale a velocidade no instante t = 2 s, utilizamos a seguinte equação:
v = 15 – 3t
Substituindo t = 2 s
v = 15 – 3 . 2
v = 15 – 6 = 9 m/s
c ) Para calcular quanto vale a velocidade no instante t = 10 s, utilizamos a seguinte equação:
v = 15 – 3t
Substituindo t = 10 s
v = 15 – 3.10
v = 15 – 30
v = – 15 m/s
d) O instante em que o móvel muda de sentido será quando sua velocidade for zero. Assim, retomamos novamente à equação dada anteriormente e substituímos v por 0:
v = 15 – 3t
0 = 15 – 3t
3t = 15
t = 15/3 = 5s
Gráficos Velocidade x tempo
Os gráficos da velocidade em função do tempo no movimento retilíneo uniformemente variado, relacionam de que maneira a velocidade varia com o tempo de acordo com a equação:
![]()
Essa equação representa uma equação de 1° grau (equação da reta), onde vo é o coeficiente linear (ponto que intercepta o eixo vertical) e a representa o coeficiente angular (representa a inclinação da reta). No primeiro caso, temos uma aceleração positiva (reta crescente). No segundo gráfico temos a representação da aceleração negativa (reta decrescente) e no terceiro gráfico, uma reta paralela ao eixo x, ou seja, um movimento com velocidade constante (MRU).

Exemplo 3:O movimento de um corpo é descrito pelo gráfico da velocidade em função do tempo da figura abaixo:

Para esse movimento, determine:
a) a velocidade inicial;
b) a aceleração;
c) a função horária da velocidade
d) o deslocamento do móvel no intervalo de 0 a 20 s.
Resolução:
a) Podemos observar pelo gráfico que a velocidade inicial é 20 m/s. Ou seja, é o ponto onde a reta intercepta o eixo y (eixo da velocidade).
b) A aceleração pode ser determinada pela seguinte equação:


Olhando para o gráfico, podemos observar que:
v = 60 m/s
v0 = 20 m/s
t = 20 s
t0 = 0
Assim:

Exemplo 4: Um móvel descreve um movimento uniformemente variado, em relação a um determinado referencial, e sua velocidade varia, em função do tempo, de acordo com o diagrama abaixo:

Determine:
a) A velocidade inicial do móvel/
b) Sua aceleração;
c) A função horária da velocidade
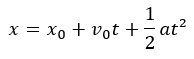
d) A função horária do espaço, sabendo que no instante t = 0 o móvel estava passando pelo marco + 30 m da trajetória.
Resolução:
a) Pelo gráfico podemos observar que o ponto em que a reta intercepta o eixo das velocidades é – 10 m/s.
b) Podemos determinar a aceleração conforme determinamos no exemplo anterior, porém, aqui iremos fazer de uma outra forma. Lembrando que:

Ou ainda, se determinarmos a tangente do ângulo mostrado na figura, encontramos a aceleração do móvel.


c) A função horária da velocidade é dada por:
v = v0 + at
v = -10 + 2t
d) A função horária do espaço é: x = x0+v0t+1/2 at². Sabendo que no instante t = 0 a posição inicial é x0 = -30 m, escrevemos:
x=-30 – 10t + 1/2 2t²
x = 30 – 10t +t²
Função horária da posição no MRUV
Ao descrever o movimento de um móvel, podemos compreende-lo a partir da função horária da posição. Ou seja, como a posição varia em função do tempo. A função horária da posição pode ser escrita como:

Exemplo 5: Um móvel descreve um MRUV em um determinado referencial, cuja função horária do espaço, no Sistema Internacional de Unidades, é x = 10 + 8t – t². Determine:
a) o instante em que o móvel muda de sentido;
b) a posição do móvel no instante em que ocorre a mudança de sentido do movimento.
Resolução:
a) Quando falamos em “mudar o sentido” do movimento, estamos falando de v = 0. Assim, vamos escrever a função da velocidade em relação ao tempo e encontrar o tempo em que o móvel muda de sentido.
Pela equação x = 10 + 8t – t², observamos que v0 = 8 m/s e a aceleração é a = – 2 m/s².
v = v0 + at
0 = 8 – 2 t
2t = 8
t = 4 s
b) para calcularmos a posição em que ele se encontra quando muda de sentido, devemos substituir t = 4s na equação x = 10 + 8t – t². Que é o instante em que ele muda de sentido, conforme determinamos na letra (a).
x = 10 + 8t – t²
x = 10 + 8.4 – 4²
x = 10 + 32 – 16 = 26 m.
Exemplo 6: Um corpo descreve um MRUV em relação a uma referencial e sua função horária do espaço é x = 10 + 6t + 3t² (SI). Para esse movimento, determine:
a) a posição inicial;
b) a velocidade inicial;
c) a aceleração;
d) a função horária da velocidade.
Resolução:
a) Analisando a função horária da posição, vemos que a posição inicial é x0 = 10 m
b) Pela equação acima, vemos que a velocidade inicial é v0 = 6 m/s
c) Pela mesma equação, a aceleração é 6 m/s²
d) A função horária da velocidade é dada por: v = v0 +at
Assim, a resposta fica: v = 6 + 6t
Gráficos Posição x tempo
Os gráficos da posição em função do tempo no movimento retilíneo uniformemente variado, relacionam de que maneira a a posição varia com o tempo de acordo com a equação:

Essa equação representa uma equação de 2° grau, onde a representa o coeficiente angular (concavidade da parábola). No primeiro caso, temos uma aceleração positiva (concavidade para cima). No segundo gráfico temos a representação da aceleração negativa (concavidade para baixo). Cabe observar que o ponto em que a curva intercepta o eixo vertical é a posição inicial (x0) e que, em física, como não existe tempo negativo, o eixo horizontal apresenta apenas a parte positiva do tempo.

Exemplo 7: O gráfico abaixo indica como varia o espaço de um móvel em função do tempo para certo MRUV. A aceleração do móvel, em m/s² é quanto?

Resolução:
Podemos observar nesse gráfico que no ponto mais baixo da curva, temo que a posição do móvel vale -1 m para um tempo de 2s. Nesse ponto, sabemos que a velocidade do móvel vale 0. Ou seja, consideramos -1 m a posição inicial do móvel e 3 m a posição final. Assim:
x = x0 + v0t + 1/2 at²
3 = -1 + 0.2 + 1/2 a.2²
3+1 = 1/2. a . 4
4 = 2 a
a = 2 m/s²
Exemplo 8: Para um móvel que parte do repouso, temos abaixo o gráfico de sua posição em função do tempo:

A função horária que melhor representa o movimento do móvel é:
a) x = 16 + 6t + 2t²
b) x = 6 + 16t + 5t²
c) x = 16t + 6t²
d) x = 6t + 3t²
e) x = 6 + 5/2 t²
Resolução:
Observamos no gráfico e no enunciado as principais variáveis do problema:
x0 = 6 m
v0 = 0
Porém, ainda não sabemos o valor da aceleração. Para isso, faremos algo semelhante ao que foi feito no exercício anterior.
x = x0 + v0t + 1/2 a t²
16 = 6 + 0.2 + 1/2 a 2².
10 = 1/2 . a . 4
10 = 2.a
a = 5 m/s²
Sabendo o valor de x0, v0 e a, podemos escrever a função horária da posição:
x = 6 + 1/2 . 5 . t²
x = 6 + 5/2 t²
Letra (e)

