O fenômenos das marés está presente em nosso cotidiano, mais do que pensamos. Quem nunca ouviu a expressão que “a maré não está para peixe”, quando uma situação não está muito favorável? A física é também uma área da ciência que se preocupa em compreender o fenômeno da maré alta e maré baixa. Para descrever esse comportamento do mar, iremos estudar a interação entre a Terra, o Sol e a Lua.

Podemos considerar que a distância entre a Terra e a Lua é considerada pequena (quando comparada com a distância Terra-Sol, claro). A distância da Terra à Lua é em torno de 384.000 km e a distância da Terra ao Sol é de 149.000.000 km. Ou seja, consideramos que a distância entre nosso planeta e o nosso satélite natural é pequena.
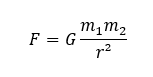
De acordo com a Lei da Gravitação Universal de Isaac Newton, a atração entre dois diferentes corpos se dá a partir da seguinte equação:

Observamos que a interação entre dois corpos é diretamente proporcional a suas massas (aumenta o produto entre as massa, aumento a interação. O contrário também é válido). Além de ser inversamente proporcional ao quadrado da distância entre esses dois corpos. Quanto maior for a distância, menor será essa interação. Apesar da massa do Sol ser muito maior que a massa da Lua (em torno de 1 milhão de vezes), a distância entre o Sol e a Terra é muito maior do que a distância Terra-Lua.
Como vimos, existe uma interação entre o Sol e a Terra que também contribui para o fenômenos das marés, mas aqui vamos nos dedicar mais aos efeitos lunares sobre as marés.
Existe uma atração não apenas entre a Lua e o planeta Terra, mas também entre a Lua e tudo que compõe o nosso planeta. Dessa forma, a Lua e os diferentes pontos da superfície da Terra interagem de maneira distinta. Enquanto a atração entre os dois corpos é mais intenso em um ponto é menor em outro. Dessa forma, as águas das regiões que estão mais próximas à Lua, possuem uma maior interação com o satélite, fazendo com que ocorra o fenômeno da maré alta.


